top left corner top edge top right corner
left edge daniel.brogan.name HOME daniel.brogan.name HOME


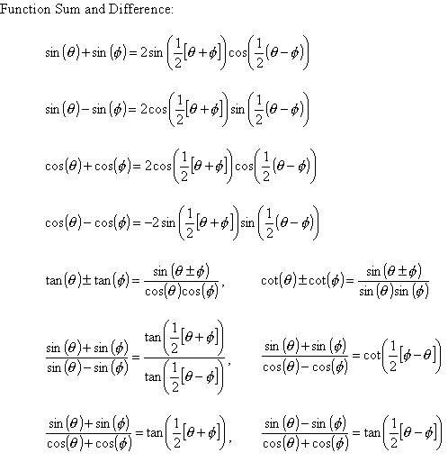
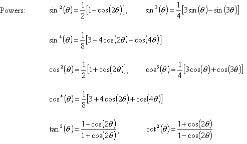
Useful Trigonometric Equations

Sin(q)    
0° = 0p 0 90° = p/2
30° = p/6 1/2 60° = p/3
45° = p/4 SQRT(2)/2 45° = p/4
60° = p/3 SQRT(3)/2 30° = p/6
90° = p/2 1 0° = 0p
    Cos(q)

Not Responsible for typographical errors


Contact the WebServant © 2002-04 | FAQ | SOURCES
right edge
bottom left corner bottom edge bottom right corner